Researchers from the Quantum Optoelectronics Laboratory, School of Physics, experimentally investigated the optical pulse response of a superconducting micro-resonator and published the work in Applied Physics Letters.
Superconducting micro-resonators have important applications in quantum information processing, quantum computing, precision measurements, photon detection and advanced quantum optics experiments. For example, microwave kinetic inductance detectors (MKIDs), made from high-quality superconducting micro-resonators, have been used in detecting weak photon flux at sub-millimeter and millimeter wavelengths for astrophysical and imaging applications. MKIDs have also demonstrated a good capability to count single photons and resolve photon energy at infrared and visible wavelengths. For these photon-counting applications, it is necessary to have an in-depth understanding of the optical pulse response of superconducting micro-resonators in the time domain. This is important not only for the detector design but also for understanding the quasi-particle (QP) dynamics and other underlying physics in superconducting thin film devices.

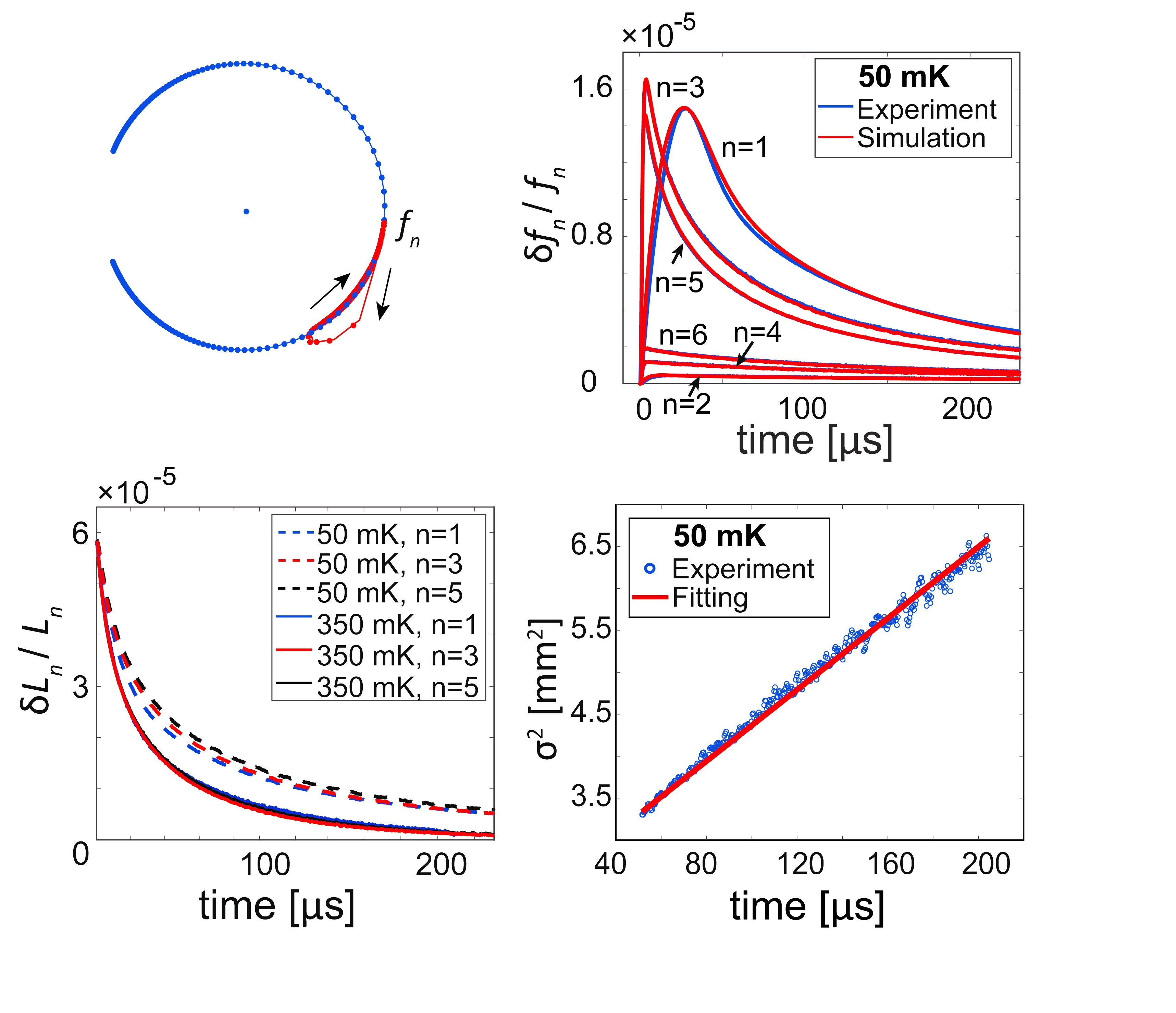
In this work, the researchers study the optical pulse response of a superconducting half-wavelength coplanar waveguide (CPW) resonator. They apply a short optical pulse to the center strip of the CPW resonator, where the current distribution shows antinodes or nodes for different resonance modes, and measure the frequency response. They develop a time-dependent variable inductance circuit model to simulate the optical pulse response of the resonator. By fitting this model to experimental data, they extract the temporal kinetic inductance variations, which can remove the resonance circuits effects and directly reflect the quasi-particle recombination with time and diffusion in space. The researchers also retrieve the spatial size of the quasi-particle distribution and the quasi-particle diffusion constant. This study is very useful for the design of photon-counting kinetic inductance detectors, and the method developed in this work provides a useful way to study the quasi-particle dynamics in the superconductor.

The design, fabrication and measurement of the superconducting resonator device are accomplished at Southwest Jiaotong University (SWJTU). The first author is Jingjing Hu and the correspondence author is Yiwen Wang. The collaborators include researchers from the School of Information of SWJTU, and National Institute of Standards and Technology (NIST). This work was supported in part by the National Natural Science Foundation of China (Grant Nos. 61871333 & 11974290) and SRTP (No. 202010613057).
Citation: Appl. Phys. Lett. 119, 022601 (2021).
Title: Study of quasi-particle dynamics using the optical pulse response of a superconducting resonator
DOI: https://doi.org/10.1063/5.0052826
Supplementary material: https://aip.scitation.org/doi/suppl/10.1063/5.0052826
Contact E-mail: qubit@swjtu.edu.cn